【Inward Visit】Penang Alumni Association of Taiwan Universities and Chung Ling Private High School, Malaysia

CGU visit agenda

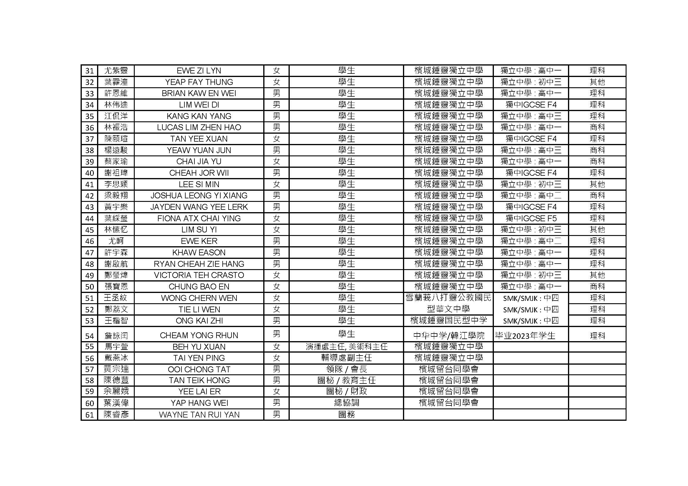
delegates-1
delegates-2